Research Article | DOI: https://doi.org/10.31579/2834-5029/091
Invigoration Of Three Photosensitive Rice Varieties by Cinnamon-Immersed Water: A Comparative Study*
- Rudra Prasad Ghosh
- Surojit Maur, Anindita Dey *
Asutosh College, Department of Botany, Kol-26, India.
*Corresponding Author: Anindita Dey, Asutosh College, Department of Botany, Kol-26, India.
Citation: Rudra Prasad Ghosh, Surojit Maur, Anindita Dey. (2025). Invigouration Of Three Photosensitive Rice Varieties By Cinnamon-Immersed Water: A Comparative Study., International Journal of Biomed Research, 4(6); DOI: 10.31579/2834-5029/091
Copyright: © 2025, Anindita Dey. This is an open access article distributed under the Creative Commons Attribution License, which permits unrestricted use, distribution, and reproduction in any medium, provided the original work is properly cited.
Received: 04 November 2025 | Accepted: 18 November 2025 | Published: 28 November 2025
Keywords: invigoration; seed coat; pretreatment; germination; growth; vigour; seed electrolyte
Abstract
Maintenance of seed health during storage conditions is essential before sowing seeds in the field. A robust seed coat is essential for good seed quality because it shields the seed from imbibition-related nutrient leakage and guards against any kind of infections that might further degrade seed quality. Among various techniques and treatments related to seed invigoration, our study showed that cinnamon-immersed water can improve seed coat health and invigorate photosensitive rice seeds of three varieties when seeds were pretreated with this water. Our findings were proved by studying germination percentage, T50 of germination, growth of seedlings, and dry weight accumulation of both treated and untreated seeds. Data were further supported by examining the biochemical assays of the electrolytes leached out from both treated and untreated seeds. This study undoubtedly aids farmers in increasing the germination percentage of seeds with lower germination rates and enhancing the growth and vigour of seedlings by boosting the seed coat health.
1. Introduction
Rice is the most desired cereal crop to satisfy the world's indiscriminate food needs. It requires storage for one or more planting seasons before cultivation. Researchers have long worked to introduce better tools and techniques for maintaining seeds' health while they are being stored [1-3]. More recently, the infusion of fungicides, growth regulators, pesticides, bio-products, bio-ingredients, agro-chemicals, herbicides, and nanomaterials into the seeds before germination is reported to alleviate the impact of adverse factors on seed quality and performance [4-7]. Seeds invigoration implies an improvement in seed performance by any post-harvest treatment such as soaking-drying with chemicals, growth regulators, etc, resulting in an improvement in germination percentage, greater storability, high yielding capability, and high vigour of plants than the corresponding untreated seeds [8]. Cell membrane injury may arise from a decrease in the water status of plant tissue [9]. Tissue permeability is increased by hydrogen peroxide (H2O2), a harmful plant molecule that builds up in water-stressed tissue. According to reports, ascorbic acid lowers H2O2 levels and controls membrane integrity in tissue under water stress [10]. Another interesting technique in nano-based agriculture is nano-priming with micronutrients. Introducing nanoparticles in rice fields also proves better crop productivity [11]. To maintain the seed health so far, many tools and techniques have been introduced by researchers, including seed coatings, seed hydration, pre-soaking, and seed priming techniques [12-16]. The impact of seed invigoration on variously aged bhendi and lab-lab seeds under various soil conditions was documented by Satha Celine Mary et al.,1994 [17]. Priming rice seeds with KH2PO4 increased the germination rate and vigour of seedlings, according to Borgohain and Phukon, 1994 [18]. To increase the vigour of rice seeds, a potassium salt concentration of 4% produced the greatest results. Another experiment revealed that the germination percentage of six-month-old IR-8 rice seeds rose when they were treated in several compounds [19]. The highest percentage of germination (76%) was seen in seeds treated with 0.5% NaCl out of all the compounds [20]. According to Chen et al. (2005), treating rice seed with glycine betaine and gibberellic acid increased the vigour of the rice seedlings at low temperatures [21]. While other rice cultivars like "Ratna" and "Suakalma" showed a significant loss in germinability, earlier research showed that the photosensitive varieties of rice "Jaya" and "Pankaj" were viable for longer periods under ambient circumstances [21].
Excessive dryness in stored seeds has also been observed to shorten seed lifetime, even while high temperatures, high humidity, and subsequently high seed moisture content effect the quick loss of seed viability [22]. An effort has been undertaken to track the deteriorating changes in the seeds of two popular photosensitive rice cultivars (IET-4786; IR-64) in light of the findings revealed in this study. Both seed kinds were prepared with certain inorganic, organic, and fungicidal-like substances (CuSO4, HgCl2, NaH2PO4, Na2HPO4, and ascorbic acid) following seven months of storage [21].
Keeping in view the reported observations, an attempt has been made to follow the deteriorative changes in seeds of three hybrid varieties of rice, namely Rajdeep, Gosaba 5, and Sukumar. After 7 months of preservation, both the seed varieties were pretreated with cinnamon immersed water (CIW). Cinnamon bark obtained from Cinnamomum cassia significantly exhibits antibacterial, antifungal, and anti-inflammatory properties due to the presence of a high concentration of cinnamaldehyde [23]. The viability of rice seeds in terms of germination was more all less high in all the treated seeds. The effectiveness of cinnamon-soaked water during invigoration will be demonstrated by the comparative study of Rajdeep (R1), Goshaba 5 (R2), and Sukumar (R3).
2. Materials and Methods
2.1 Seed collection:
Certified seeds of three rice varieties were collected from Rice Research Station, Chinsurah, West Bengal, Hooghly, India, in June (harvesting period). Seeds were repeatedly sundried and stored separately in perforated paper bags for 7 months under normal laboratory conditions. After that period, seeds were used for germination under different treatments. The germinability of the seeds before invigouration treatments was 70%, 75%, and 65% for R1, R2, and R3, respectively.
2.2 Methods of pretreatment
Seeds of all varieties were surface sterilized with 0.1% HgCl2 for 1 min and then subjected to the treatment. Treatments were adopted by using cinnamon bark immersed overnight and preparing three concentrations with distilled water. An appropriate amount of cinnamon bark was directly dissolved in double-distilled water for 12 hours. After that, the bark was removed and the water was collected for further use. Seeds of R1, R2, and R3 were soaked in CIW for 6 h. After completion of the treatments, the seeds were separately surface dried with blotting paper and dried back to their original weight under the sun. The control (i.e., untreated) seeds were soaked with distilled water (DW) and dried under the sun along with the other treated seeds. After completion of pretreatment, seeds were stored in perforated paper bags and used for the experiment after 15 days.
2.3 Germination technique
All seeds were surface sterilized by immersing them in a 10% sodium hypochlorite solution before to germination [24]. To determine the percentage of germination, 20 separate seed samples were placed in Petri plates with filter paper that had been moistened with 10 ml of distilled water or, if applicable, CIW solution. The International Rules for Seed Testing Association were followed, and germination data were collected every 24 hours [25]. Seeds were considered to be completely germinated when the radicle attained a length of 1 mm and the plumule had just unfolded [26]. All the experiments were repeated thrice with 6 replications in each case. Details of seeds treated in different concentrations of CIW are given below-
T0 – DW-treated seeds
T1 – 0.1 mg/ml concentration of CIW
T2 – 0.3 mg/ml concentration of CIW
T3 – 0.5mg/ml concentration of CIW
T4 – 0.7mg/ml concentration of CIW
3. Method for measurement of other variables
The time required for 50% germination, or T50, was measured following three iterations of the germination process, each including six replications. After ten days of treatment, the dry weight accumulation of the rice seedlings was measured. 25 seeds, each with six duplicates, were placed in a 100 ml beaker filled with 25 ml of double-distilled deionized water at 27 ± 1 °C to quantify electrolyte leakage (EL). The seeds were taken out after a day.
A conductivity meter was used to directly measure the electrolytes' electrical conductivity in microSiemens (μs) / 25 ml. The McCready et al., 1950 technique was used to determine the amount of soluble carbohydrates. A spectrophotometer was used to measure the green colour's intensity in terms of OD at 620 nm after 30 minutes [27]. A standard curve created by glucose was used as the basis for quantitative estimation.
The method of Moore and Stein (1948) was used to determine the soluble amino acids. Using glycine as the reference amino acid, the OD was measured at 580 nm and compared to the standard curve [28]. After determining the nitrogen content of the leachate using Vogel's 1965 technique, the OD was measured at 420 nm and compared to the standard curve created using various concentrations of NH4Cl. Next, each case's percentage of N2 in the leachate was determined.
Twenty de-husked seeds were imbibed in distilled water with three duplicates for twenty-four hours at 28±1ºC under sterile conditions to measure the dehydrogenase activity. Tetrazolium can be reduced to a red-colored formazan by the hydrogen atoms produced by the respiration-related dehydrogenase enzyme [29]. Following incubation, this formazan was extracted using 5 ml of 100% alcohol, and the solution's optical density (OD) values were noted at 520 nm. This approach was used with minor adjustments following Rudrapal and Basu (1979) [30]. After running each test three times with six replications in each case, we conducted a statistical analysis of the data from all of the aforementioned experiments. Using a one-way ANOVA and a suitable multiple comparison. Using a one-way ANOVA and a suitable multiple comparison test at p less than 0.05, statistical significance was examined.

Figure 1: Diagrammatic representation of our experimental procedure
4. Results and Discussion
4.1 Germination percentage:
From Table I, it was observed that the germination percentage was maximum in R2 for the treatment T2, while T4 showed the lowest germination percentage in R3. Germination percentage was gradually increased in the case of R2 in the T2, but it was further decreased in T4, indicating the detrimental effect of the treatment at higher concentrations. Values correspond to average ± standard deviation obtained for all seeds from hexaplicates where 0.282 ≤ p ≤ 0.976; # significant differences compared to control
4.2 T50 of germination:
The least T50 was observed in R2, i.e., 35 hrs in T2, and it was maximum, i.e., 68 hrs for R3 in T4 (Table I). In all the treatments, T50 was decreased in the case of R1 and R2. Values correspond to average ± standard deviation obtained for all seeds from hexaplicates* where 0.282 ≤ p ≤ 0.976; # significant differences compared to control
Treatments | Germination percentage (%) | T50 of germination (hr) | ||||
R1 (±4.67) | R2 (±5.25) | R3 (±5.07) | R1 (±3.38) | R2 (±4.60) | R3 (±5.02) | |
T0 | 70 | 75 | 65 | 40 | 42 | 70 |
T1 | 86 | 90 | 67 | 38 | 38 | 63 |
T2 | 90 | 92 | 62 | 38 | 35 | 63 |
T3 | 85 | 92 | 62 | 38 | 36 | 65 |
T4 | 78 | 80 | 50 | 39 | 38 | 68 |
Table 1: Germination percentage and T50 of all the treatments in all the seed varieties

Figure 2: Bar diagram showing A, Germination percentage, and B, T50 of germination of three rice varieties in prescribed treatments
4.3 Dry wt. Accumulation:
It was gradually increased in all the treatments in case of R1 and R2, but in R3, dry weight accumulation was decreased than the control, and it was the lowest in case of R3 in the T4.

Figure 3: Bar diagram showing dry weight accumulation of three rice seed varieties in different treatments
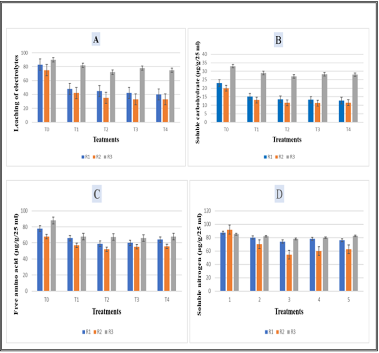
4.4 Conductivity test
Conductivity of leachates of 24 h was maximum for R3 in T0 that was reduced little in T1, T2 and T3 but leaching of electrolytes was maximally reduced than to in case of T2 for R2. In all treated cases conductivity of electrolytes reduced than T0.
4.5 Test for soluble carbohydrate, free amino acid and soluble nitrogen:
Leached out amount of soluble carbohydrate was reduced in all the treatments compare to the control. It was minimum i.e. 11.4 µg/g/25 ml in T2 in case of R2 and for R1 it was 13.5 µg/g/25 ml. Free amino acid and soluble nitrogen leached out through the seed coat were minimum in case of R2 for the treatment T2 and for R3 leached out nutrient content was significantly higher than other two varieties and it was more all less similar like control.

Figure 4: Bar diagram showing A, Leaching of electrolytes; B, Soluble carbohydrates; C, Free amino acids and D, soluble nitrogen present in the electrolytes in R1, R2 and R3 in different treatments
4.6 Test of dehydrogenase activity:
It was clear from the fig 4 that for all R1, R2, and R3, T0 showed the lowest dehydrogenase activity over all the treatments. OD values of the red formazan formation, when recorded at 470 nm it was increased in all other treatments and the maximum OD was recorded in R3 for the T4 condition.

Figure 5: Bar diagram showing dehydrogenase activity of R1, R2 and R3 in different treatments
Discussion
We know that a seed's membrane is its most crucial component, and it seems that high temperatures and high moisture storage conditions have the biggest impact on it. It may be argued that every substance that has been shown to impact seed viability also affects membrane integrity. The increase in seed germination percentage and decrease in T50 observed in our study demonstrate the advantageous impact of pretreated seeds with the chosen compounds. The aforementioned pattern also supports seedling vigour as measured by dry weight gain. It is evident from the study that certain compounds exhibit superior benefits at lower dosages, while others do so at larger dosages. It was proposed that the leaching of toxic metabolites from the seeds made the positive effects of chemical pretreatments feasible [31, 32]
Literature review on invigouration study gave us clear data that different types of pretreatments are reported to successfully enhance seed viability. Treatments with antioxidants, salts, organic acids, essential oils, plant growth regulators, nanoparticles, etc. can influence the viability of seeds [33-35].
Additionally, it was demonstrated that the conductivity of the pooled-out electrolyte increased in tandem with the degree of membrane degradation [25]. Since the invigoration results from our research were positive, membrane permeability was used to assess the relative efficiencies of our findings. Deterioration of the seed membrane is indicated by increased leaching of electrolytes with other metabolites from seeds, which was seen in T0 of all three kinds. The fact that pretreatment with CIW stops leaching from seeds (Fig. 3) suggests that CIW prevents membrane deterioration, which in turn lessens the membrane's harmful effects. Due to membrane degradation, internal seed components such as potassium, phosphate, sugar, amino acids, etc., leak out when seeds are submerged in water (Tajbakhsh, 2000).
The investigation on solute leaching that coincides with a decline in germinability and viability has supported the idea that a loss of membrane integrity and the development of membrane lesions may be important factors in the degeneration of seeds (Bhattacharjee et al., 2006). For more than a century, it has been understood that when plant tissues are submerged in a solution, the electrical conductivity of the solution increases [36]. Numerous researchers concluded that greater membrane permeability, which permits more leaching of carbohydrates, amino acids, soluble nitrogen, and salts from seeds, was the reason for the imbibing solution's decreased resistance [37, 38]. In the current investigation, the pretreated seeds showed a more noticeable halt of the leaching of soluble chemicals than T0. The aquaporin in the seed membrane is responsible for the increase in water absorption [39]. Additionally, aquaporins can control the electrochemical potential of membranes and significantly decrease the flow of ions across them [40]. It is anticipated that this aquaporin characteristic would boost the germination rate and vigor of every treated seed [41].
Numerous variables, including pH, heavy metal concentrations, high osmotic pressure, salinity, and water channel expression genes like PIP (Plasma membrane Intrinsic Protein) [42] and SIP (Small basic Intrinsic Protein) [43], affect how aquaporins function. The significance of PIP genes in rice seed germination was detailed by Liu et al. in 2007 [38].
CIW has strong anti-inflammatory activity with antimicrobial and anticancerous properties that prevent microbial deterioration of the rice seed coat. Cinnamon also contains essential minerals like calcium, magnesium, iron, fibre etc. that help to rejuvenate seed coat health by supplying nutrients [44, 45].
Conclusion
From our overall study, we can conclude that CIW has enough potency to rejuvenate seed coat health if it deteriorates during storage conditions. Rice seeds older than one year may also be sown in the fields after treating them in CIW water. Our study showed that 0.3mg/ml concentration of CIW i.e.T2 exhibited best effect on Gosaba 5 i.e. on R2 and the application of higher dose on all R1, R2 and R3 showed toxicity which was recorded by the data of T4 on all three. Moreover, the antiinfection effect of CIW may exhibited additional advantage on deteriorative seeds by nullifying any kind of antibacterial and antifungal issues. Finally, CIW pretreated seeds also boost up their nutritional content with the microelements present in the cinnamon bark.
Acknowledgement
We gratefully acknowledge the ‘Seed Grant’ awarded by Research and Development Cell, Asutosh College, Kolkata-26 for financial support and Department of Botany, Asutosh College for all sorts of academic and experimental assistance.
References
- Agboma P., Jones M.G.K., Peltonen-Sainio P., Rita H., Pehu E. (1997) Exogenous glycinebetaineenhances grain yield of maize, sorghum and wheat grown under two supplementary waterregimes, J. Agron. Crop Sci. 178, 29–37.
View at Publisher | View at Google Scholar - Basra S.M.A., Farooq M., Hussain M. (2005a) Influence of osmopriming on the germination andearly seedling growth of coarse and fine rice, Pak. J. Seed Technol. 6, 33–42
View at Publisher | View at Google Scholar - Balasubramanian V. Hill, J.E. (2002) Direct seeding of rice in Asia: emerging issues and strategicresearch needs for 21st century. In: Pandey S., Mortimer M., Wade L., Tuong T.P., Lopes K.,Hardy B. (Eds.), Direct seeding: Research strategies and opportunities. International ResearchInstitute, Manila, Philippines, pp: 15–39
View at Publisher | View at Google Scholar - Janmohammadi M, Moradi D, Sharifzadeh F (2008). Seedinvigoration techniques to improve germination and earlygrowth of inbred line of maize under salinity and droughtstress. Gen. Appl. Plant Physiol., 34(3-4): 215-226.
View at Publisher | View at Google Scholar - Anuradha S., Rao S.S.R. (2001) Effect of brassinosteroids on salinity stress induced inhibitionof seed germination and seedling growth of rice (Oryza sativa L.), Plant Growth Regul. 33,151–153.
View at Publisher | View at Google Scholar - Basra S.M.A., Farooq M., Tabassum R. (2005b) Physiological and biochemical aspects of seedvigor enhancement treatments in fine rice (Oryza sativa L.), Seed Sci. Technol. 33, 623–628.
View at Publisher | View at Google Scholar - Basra S.M.A., Farooq M., Tabassum R., Ahmed N. (2006b) Evaluation of seed vigor enhance-ment techniques on physiological and biochemical basis in coarse rice, Seed Sci. Technol.34, 741–750.
View at Publisher | View at Google Scholar - Basu RN (1990). Seed invigouration for extended storability. Proceedings of the International Conference on Seed Science and Technology, New Delhi.
View at Publisher | View at Google Scholar - Srivastava L.M. (2002) Plant Growth and Development: Hormones and Environment. AcademicPress, London
View at Publisher | View at Google Scholar - Sasaki K., Kishitani S., Abe F., Sato T. (2005) Promotion of seedling growth of seeds of rice (Oryzasativa L. cv. Hitomebore) by treatment with H2O2 before sowing, Plant Prod. Sci. 8, 509–514
View at Publisher | View at Google Scholar - Song W.J., Hu J., Qiu J. Geng H.Y., Wang R.M. (2005) Primary study on the development ofspecial seed coating agents and their application in rice (Oryza sativa L.) cultivated by directseeding, J. Zhejiang Uni. (Agric. Life Sci.) 31, 368–373
View at Publisher | View at Google Scholar - Ross C., Bell R.W., White P.F. (2000) Phosphorus seed coating and soaking for improving seedling growth of Oryza sativa (rice) cv. IR66, Seed Sci. Technol. 28, 391–401.
View at Publisher | View at Google Scholar - Kulkarni M.G., Sparg S.G., Light M.E., Van Staden J. (2006) Stimulation of rice (Oryza sativa L.) seedling vigour by smoke-water and butenolide, J. Agron. Crop Sci. 192, 395–398.
View at Publisher | View at Google Scholar - Lee S.S., Kim J.H. (2000) Total sugars, α-amylase activity, and germination after priming of nor-mal and aged rice seeds, Kor. J. Crop Sci. 45, 108–111
View at Publisher | View at Google Scholar - Kaur S., Gupta A.K., Kaur N. (2002) Effect of osmo- and hydropriming of chickpea seeds onseedling growth and carbohydrate metabolism under water deficit stress, Plant Growth Regul.37, 17–22.
View at Publisher | View at Google Scholar - Mohanasarida K., Mathew J. (2005) Effect of seed hardening on growth and yield attributes andyield of semi-dry rice, Res. Crops 6, 26–28.
View at Publisher | View at Google Scholar - Satha CM, Thiagarajan CP, Kalavathi (1994). Influence of seedinvigouration treatments on differentially aged seeds ofbhendi and lab-lab under different soil media. Seed TechNews, Bulletin of the Indian Society of Seed Sci.Technol.,24(4): 85-88
View at Publisher | View at Google Scholar - Borgohain B, Phukon RN (1994). Effect of forms andconcentration of potassium salt on germination and seedlingquality of rice. J. Potassium Res., 10: 274-277
View at Publisher | View at Google Scholar - S. Dey, A. Dey and S. Das (2012). Invigouration of rice varieties: A comparative study on invigouration of two ricevarieties through chemical treatments, Agricultural Science Research Journal Vol. 2(1), pp. 51 – 58.
View at Publisher | View at Google Scholar - Mathew, G. and Alexander, G. (1991), Effect of seed soaking in paddy for prolonging viability. Orissa Journal of AgriculturalResearch, 4, 107-108.
View at Publisher | View at Google Scholar - Chen D, Gunawardina TA, Naidu BP, Fukaj S, Basnayaki J (2005), Seed treatment with gibberllic acid and Glycine betaine improves seedling emergence and seedling vigour of rice under low temperature. Seed Sci.Technol., 33: 471-479.
View at Publisher | View at Google Scholar - Mutlu AS, Duffy J, Wang MC. Lipid metabolism and lipid signals in aging and longevity. Dev Cell. 2021 May 17;56(10):1394-1407. doi: 10.1016/j.devcel.2021.03.034. Epub 2021 Apr 22. PMID: 33891896; PMCID: PMC8173711.
View at Publisher | View at Google Scholar - Nabavi SF, Di Lorenzo A, Izadi M, Sobarzo-Sánchez E, Daglia M, Nabavi SM. Antibacterial Effects of Cinnamon: From Farm to Food, Cosmetic and Pharmaceutical Industries. Nutrients. 2015 Sep 11;7(9):7729-48. doi: 10.3390/nu7095359. PMID: 26378575; PMCID: PMC4586554.
View at Publisher | View at Google Scholar - U. S. Environmental Protection Agency. (1996). Ecological Effects Test Guidelines (OPPTS 850.4200): Seed Germination / Root Elongation Toxicity Test.
View at Publisher | View at Google Scholar - Dey A, Basu R, Das S, Nandy P (2011) A study on the phytotoxicity of nano mullite and metal-amended nano mullite on mung bean plant. J. Environ. Monitoring, 13: 1709-1715.
View at Publisher | View at Google Scholar - Mondal A, Basu R, Das S, Nandy P (2011) Beneficial role of carbon nanotubes on mustard plant growth- an agricultural prospect. J. Nanoparticle Res., 13(10): 4519-4528
View at Publisher | View at Google Scholar - Mc Cready RN, Guggloz J, Silviera V, Owens HS (1950). Determination of stearch and amylase in vegetables. Anal. Chem., 22: 1156-1158
View at Publisher | View at Google Scholar - Moore S, Stein WW (1948). Photometric ninhydrin method forthe use in chromatography of amino acid. J. Biol. Chem.,176: 367-368.
View at Publisher | View at Google Scholar - Olson S, Song BJ, Huh TL, Chi YT, Veech RL, McBride OW. Three genes for enzymes of the pyruvate dehydrogenase complex map to human chromosomes 3, 7, and X. Am J Hum Genet. 1990 Feb;46(2):340-9. Erratum in: Am J Hum Genet 1990 Jun;46(6):1235. PMID: 1967901; PMCID: PMC1684992.
View at Publisher | View at Google Scholar - Rudrapal AB, Basu RNM (1979). Physiology of hydration-dehydration treatment on the maintenance of seed viability inwheat (Triticum aestivum L.). Indian J. Experi. Biol., 17: 768-771
View at Publisher | View at Google Scholar - Alengebawy A, Abdelkhalek ST, Qureshi SR, Wang MQ. Heavy Metals and Pesticides Toxicity in Agricultural Soil and Plants: Ecological Risks and Human Health Implications. Toxics. 2021 Feb 25;9(3):42. doi: 10.3390/toxics9030042. PMID: 33668829; PMCID: PMC7996329.
View at Publisher | View at Google Scholar - Basu RN, Chattopadhyay K, Pal P (1974). Maintenance ofseed viability in rice (Oryza sativa L.) and Jute (Corchoruscapsularis L.) and (C. Olitorius L.). Indian Agric., 18(1): 75-79
View at Publisher | View at Google Scholar - Kanp UK, Bhattacharjee A (2003). Influence of sodiumdikegulac, ascorbic acid and eucalyptus oil on ageing onsunflower seeds. Indian J. Plant Physiol., pp. 240-245
View at Publisher | View at Google Scholar - Pati CK, Bhattacharjee A (2011). Alleviation of seeddeterioration and enhancement of plant potential of a peaspecies using selected medicinal plant extracts. J. Med.Plants Res., 5(17): 4108-4111.
View at Publisher | View at Google Scholar - Sengupta AK, De Mandal AK (2005). Pre-storage invigoration treatments for the maintenance of vigour, viability, and field performance of high vigour onion seed (Allium cepa L.). Seed Sci. Technol., 33: 753-760
View at Publisher | View at Google Scholar - Tajbakhsh M (2000). Relationships Between Electrical Conductivity of Imbibed Seeds Leachate and Subsequent Seedling Growth (Viability and Vigour) in Omid Wheat J.Agric. Set. Technol., 2: 67-71
View at Publisher | View at Google Scholar - Chen D, Gunawardina TA, Naidu BP, Fukaj S, Basnayaki J (2005). Seed treatment with gibberllic acid and Glycine betaine improves seedling emergence and seedling vigour ofrice under low temperature. Seed Sci.Technol., 33: 471-479
View at Publisher | View at Google Scholar - Kammerloher W, Fischer U, Piechottka GP, Schaffner AR (1994). Water channels in the plant plasma membrane clonedby immunoselection from a mammalian expression system, Plant J., 6(2): 189-199.
View at Publisher | View at Google Scholar - Eckardt NA. Aquaporins and Chloroplast Membrane Permeability. Plant Cell. 2008 Mar;20(3):499.
View at Publisher | View at Google Scholar - Gonen T, Watz T (2006). The structure of aquaporins, Quarterly Reviews of Biophysics, 344: 361-396.
View at Publisher | View at Google Scholar - Verkman AS. Aquaporins. Curr Biol. 2013 Jan 21;23(2): R52-55.
View at Publisher | View at Google Scholar - ohanson U, Gustavsson S (2002). A new subfamily of major intrinsic protein in plants. Molecular and Biological Evolution,19(4): 456-61
View at Publisher | View at Google Scholar - Liu HY, Yu X, Cui DY, Sun MH, Sun WN, Tang ZC, Kwak SS, Su WA. (2007). The Role of Water Channel Proteins and Nitric Oxide Signaling in Rice Seed Germination. Cell Res.,17: 638– 649
View at Publisher | View at Google Scholar - Kowalska J, Tyburski J, Matysiak K, Jakubowska M, Łukaszyk J, Krzymińska J. Cinnamon as a Useful Preventive Substance for the Care of Human and Plant Health. Molecules. 2021 Aug 31;26(17):5299. doi: 10.3390/molecules26175299. PMID: 34500731; PMCID: PMC8433798.
View at Publisher | View at Google Scholar - Farooq M., Basra S.M.A., Cheema M.A. Afzal I. (2006b) Integration of pre-sowing soaking, chilling and heating treatments for vigor enhancement in rice (Oryza sativa L.), Seed Sci. Technol. 34, 499–506.
View at Publisher | View at Google Scholar
Clinic